Cyclist - Data Analysis - R Programming
As part of the Google Analytics Certification, participants were presented with a case study focused on cyclist data from the last 12 months. The primary goal was to analyze this data and develop a novel marketing strategy aimed at transforming casual riders into annual members.
Objective
How do annual members and casual riders use Cyclistic bikes differently?
Why would casual riders buy Cyclistic annual memberships?
How can Cyclistic use digital media to influence casual riders to become members?
These are the objective of the analysis provided by the marketing head of the company Lily Moreno
Analysis Report


Average Ride Lengths
Average Monthly bike rides Across memberships and Bike Types
Casual Riders
Classic = 74864.83*1392.2073 = 104,227,362.8 secs = 28,952.04 hrs
Docked = 14854.25*3241.3343 = 48,147,590.03 secs = 13,374.33 hrs
Electric = 105569.67*893.7360 = 94,351,414.59 secs = 26,208.72 hrs
Total = 28,952.04 hrs + 13,374.33 hrs + 26,208.72 hrs = 68,535.09 hrs
Casual riders rode about 68,535.09 hrs per month on an average
Members
Classic = 144836.25*760.1799 = 110,101,606 secs = 30,583.77 hrs
Electric = 139387.33*666.3692 = 92,883,423.58 secs = 25,800.51 hrs
Total = 30,583.77 hrs + 25,800.51 hrs = 56,384.721 hrs
Members rode about 56,384.721 hrs per month on an average
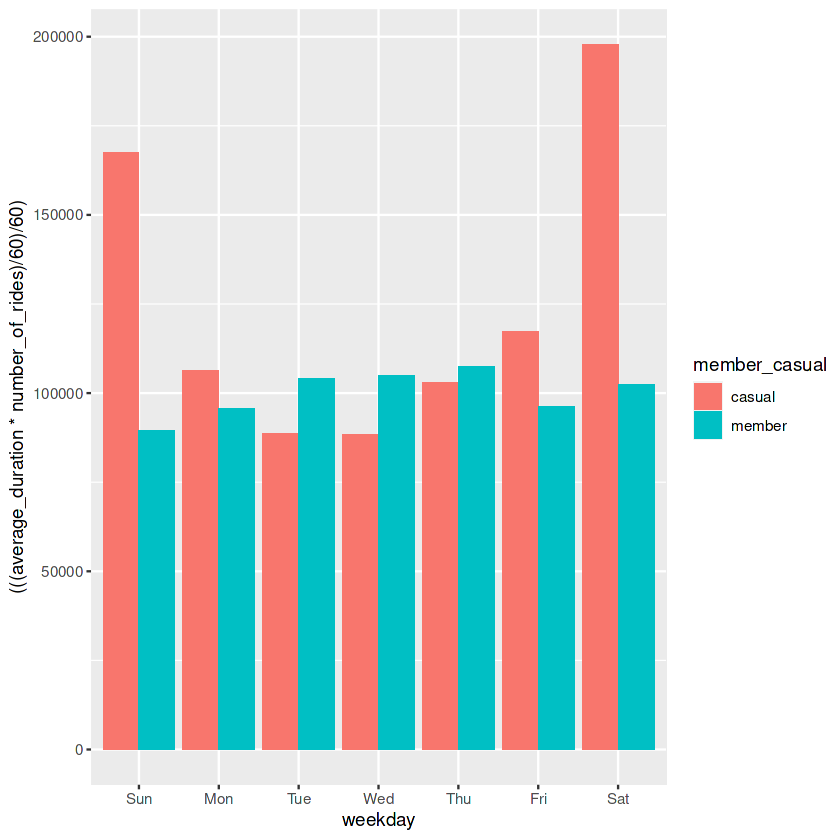
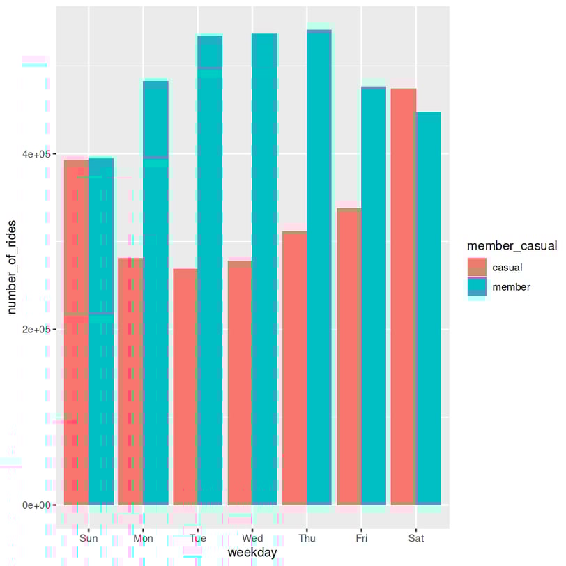
Week day- no of rides


Number of rides
Members have the most number of rides especially during the weekdays = Monday to Friday


Average duration through the Week
Average duration
Casual riders have the highest average_duration than the members
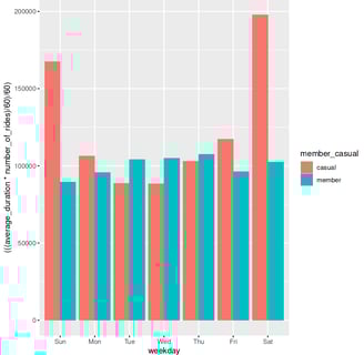
Total Number of Average Ride Length


number_of_rides + average_duration
Members have a higher average ride hours on tuesdays, wednesdays and Thursdays, whereas casual riders have higher average ride hours on other days.


Number of rides per month
Number of rides
Both members and casual riders had maximum rides in the months of May to september


Average duration month
Average duration
Casual riders have longer average ride lengths each month


Total Number of Average Ride Length - Month
Number of rides plus average duration
Members have highest average ride duration in hours than casual riders in the months of February, October, November, december, and January
Casual riders have maximum number of riders in the months of May to September
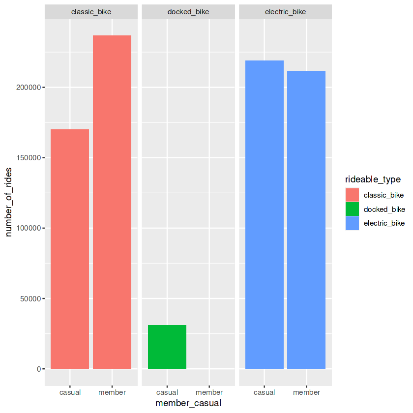
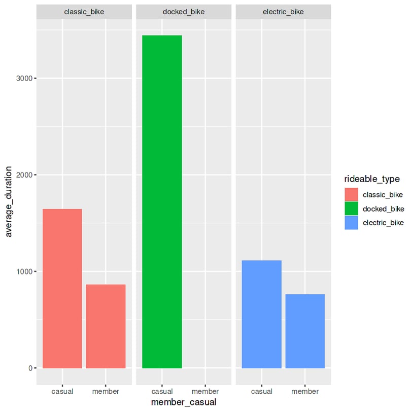
Rideable type: number of rides


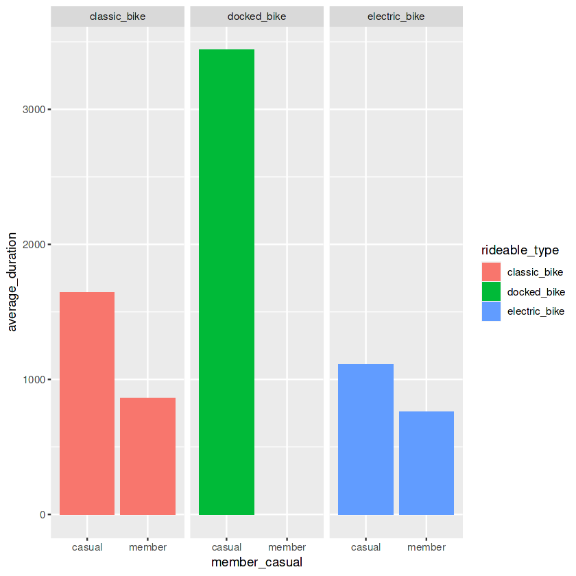
The Highest Contribution of Annual Members comes from Classic bikes
The Highest Contribution of Casual riders comes from Electric bikes
Docked bike has minimum number of rides but have maximum Average duration every month.


Rideable type Average Duartion
A docked bike has a minimum number of rides but have maximum Average duration every month.
Answering Objectives
How do annual members and casual riders use Cyclistic bikes differently?
Usage Patterns: Annual Members vs. Casual Riders
Riding Preferences:
Annual Members: Prefer weekdays, especially Monday through Friday.
Casual Riders: Prefer weekends, particularly Saturday and Sunday.
Average Ride Durations:
Annual Members: Longer rides on Tuesdays, Wednesdays, and Thursdays.
Casual Riders: Higher average ride durations on Monday, Friday, Saturday, and Sunday.
Peak Months:
Annual Members: Peak usage from May to September.
Casual Riders: Peak usage from May to September.
Seasonal Variation:
Annual Members: Longer rides during February, October, November, December, and January.
Casual Riders: Longer rides from April to September.
Monthly Usage (Average):
Annual Members: Approximately 56,384.721 hours.
Casual Riders: Approximately 68,535.09 hours.
Bike Preferences:
Annual Members: Majority contribution from Classic bikes.
Casual Riders: Majority contribution from Electric bikes, with Docked bikes making up 19.51% of their usage.
Why would casual riders buy Cyclistic annual memberships?
Casual riders use 12,150.369 hours per month more than Annual members, which amounts to 145,804.428 hours per year. Joining as a member could provide cost savings and increased accessibility.
Casual riders have higher average ride lengths per ride each month, indicating that becoming a member could grant them access to more docking points, bicycles, and potentially charging points for electric bikes.
Docked bikes, primarily used by Casual riders, have fewer rides but longer average ride durations every month. Membership might benefit them by reducing charges for these extended rides.
Casual members have access to single rides and single day passes only. Given their longer ride durations, opting for an annual membership would allow them to use bicycles at their convenience.
How can Cyclistic use digital media to influence casual riders to become members?
Casual riders have the longest average ride durations from April to September, suggesting a focus on summer and fall. Promotions starting in March on social media and other platforms could boost conversions to annual membership.
Casual bike usage breakdown: Classic (42.24%), Electric (38.24%), Docked (19.51%). Prioritizing promotions in this order can attract more customers to annual membership.
Casual riders use bikes extensively on Saturdays and Sundays. Targeting weekends with promotions, such as reduced weekend costs and enhanced accessibility, can incentivize more casual riders to join annual membership.